O Level A Maths Standard Formula Sheet Kenneth
Proving Trigonometrical Identities Learning Made Simple Singapore Tuition
A Math Formula Sheet O Level 2020
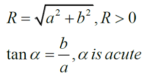
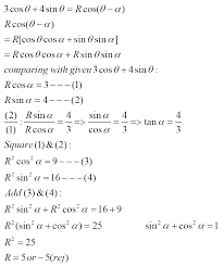
A Maths Full Derivation Of R Formula
Gce O Level A Maths Trigonometry R Formula Full Working Youtube
A Math Gce O Level Math 4047 Formula Sheet Pg 1 Maths Formulas List Math Formulas Math Formula Sheet
Additional Math A Math And Math E Math Formula Sheet For Gce O Levels
Gce O Level A Maths How To Integrate Trigonometry With Square Power Youtube
How To Pass Gce O Levels Add Maths
Gce O Level Maths Final
Additional Math Trigonometry Proving Identities Additional Math Math Tuition Teacher Woodlands Johor Bahru
All Categories Ooinstalzone
O Level Amath Formulae Sheet Periodic Table Books Stationery Textbooks On Carousell
11 Tips To Conquer Trigonometry Proving
O Level Physics Formula Sheet Light Practi Physics Formulas Physics Physics Concepts