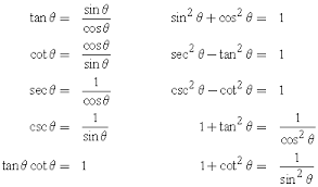
Relations Between Trigonometric Functions
Fundamental Identities
Triangle Trigonometry
Basic Trigonometric Functions
What Are The Basic Trig Identities
Trigonometric Identities
Basic Trigonometric Functions Web Formulas
Trigonometric Functions
Basic Trigonometric Functions Brilliant Math Science Wiki
Basic Relations Between Trigonometric Functions Of The Same Angle
Small Basic How To Use Trigonometric Functions Technet Articles United States English Technet Wiki
Math Rescue Trigonometry Proving Trigonometric Identities Math Methods Trigonometry Help Learning Math
Derivatives Of Trigonometric Functions
Trigonometric Functions Wikipedia
Basic Trigonometric Identities
Basic Trigonometric Identities Class 10 Maths Formula Teachoo
Summary Of Trigonometric Identities
Calculus I Trig Functions